Inhoud
Effectiviteit van Take it Personal!+, een behandeling voor problematisch middelengebruik bij mensen met een LVB1
Samenvatting
Mensen die een lichte verstandelijke beperking hebben of functioneren op zwakbegaafd niveau (LVB) lopen een verhoogd risico op een stoornis in het gebruik van middelen, maar behandelprogramma's zijn vaak niet aangepast aan deze doelgroep. Deze studie onderzocht de effectiviteit van Take it Personal!+, een gepersonaliseerde behandeling voor problematisch middelengebruik bij mensen met een LVB. De behandeling is gebaseerd op motiverende gespreksvoering en cognitieve gedragstherapie, en wordt ondersteund door een mHealth-applicatie. Data werden verzameld in een multiple baseline single-case experimenteel design met vier fasen: baseline, behandeling, post-treatment en follow-up. Twaalf participanten werden willekeurig toegewezen aan baselinelengten variërend tussen 7 en 11 dagen. De hoeveelheid middelengebruik werd onderzocht tijdens baseline, behandeling en post-treatment met een dagelijkse vragenlijst, en de ernst van het middelengebruik werd beoordeeld met gestandaardiseerde vragenlijsten. De resultaten ondersteunen de effectiviteit van Take it Personal!+ bij het verminderen van middelengebruik door mensen met een LVB.
Kernboodschappen voor de klinische praktijk
- Take it Personal!+ is een gepersonaliseerde behandeling gebaseerd op motiverende gespreksvoering en cognitieve gedragstherapie, aangepast aan de beperkingen en behoeften van mensen met een LVB.
- Take it Personal!+ bleek effectief in het verminderen van dagelijks middelengebruik en de ernst van het middelengebruik in de meerderheid van de participanten.
- Motiverende gespreksvoering en cognitieve gedragstherapie worden vaak ingezet in de behandeling van verslaving bij mensen zonder een LVB. De huidige studie toont aan dat deze behandelmethoden, in aangepaste vorm, ook effectief kunnen zijn om middelengebruik bij mensen met een LVB te verminderen.
Inleiding
De prevalentie van stoornissen in het gebruik van middelen (vanaf nu: 'verslaving') bij mensen met een lichte verstandelijke beperking of functionerend op zwakbegaafd niveau (met een IQ van 50 tot 85; vanaf nu: 'LVB') is hoog (van Duijvenbode & VanDerNagel, 2019). Vanwege verschillen in steekproeven en definities van verslaving variëren de prevalenties van verslaving in de verstandelijk-gehandicaptenzorg tussen 0,1 en 46% (van Duijvenbode & VanDerNagel, 2019; van Duijvenbode et al., 2015). Daarnaast laat onderzoek zien dat de prevalentie van een LVB in de verslavingszorg ongeveer 30-40% is (Didden et al., 2020). Mensen met een LVB hebben onder andere een verhoogd risico op het ontwikkelen van een verslaving door beperkingen in intellectueel en adaptief functioneren (bijvoorbeeld wat betreft geheugen, taal en organisatietaken; American Psychiatric Association, 2014). Andere risicofactoren voor middelengebruik in deze populatie zijn bijvoorbeeld een verhoogde kwetsbaarheid voor groepsdruk, beperkte copingvaardigheden en moeite met impulsbeheersing (Didden et al., 2020; van Duijvenbode & VanDerNagel, 2019). Naast een verhoogd risico op verslaving ondervinden mensen met een LVB, vergeleken met leeftijdsgenoten zonder een LVB, vaak ook meer ernstige gevolgen van een verslaving (Didden et al., 2020; van Duijvenbode & VanDerNagel, 2019). Mensen met een LVB hebben vaak problemen in het sociale domein, lopen meer risico op het ontwikkelen van psychische problemen en hebben meer moeite om mee te doen in de samenleving. Het hebben van een verslaving verergert deze problemen (Slayter, 2008; van Duijvenbode et al., 2015). Een verslaving heeft ernstige sociale, psychologische en lichamelijke gevolgen voor mensen met een LVB. Daarnaast hebben mensen met een LVB meer moeite om met deze gevolgen om te gaan, wat een risico vormt voor een toename van het middelengebruik.
Ondanks het verhoogde risico op verslaving is de verslavingszorg over het algemeen niet aangepast aan de beperkingen en behoeften van mensen met een LVB; de drempel naar de verslavingszorg voor mensen met een LVB is doorgaans hoog (Krahn et al., 2006; Slayter, 2010, 2016; VanDerNagel et al., 2018) en uitval tijdens behandeling komt vaak voor (van Duijvenbode & VanDerNagel, 2019). Binnen de verstandelijk-gehandicaptenzorg is er behoefte aan een evidence-based behandeling voor middelengebruik bij mensen met een LVB. Om deze redenen is het belangrijk dat de behandeling voor verslaving aangepast wordt aan mensen met een LVB.
Motiverende gespreksvoering en cognitieve gedragstherapie
De behandeling van verslaving bij mensen zonder een LVB is vaak gebaseerd op motiverende gespreksvoering (MVG) en cognitieve gedragstherapie (CGT). MVG is gericht op het vergroten van de motivatie om gedrag te veranderen. De therapeut onderzoekt de redenen van de cliënt om te veranderen, detecteert ambivalentie en ontlokt verandertaal (Miller & Rollnick, 2014). Verandertaal kan gedefinieerd worden als 'argumenten voor verandering' en wordt gezien als een voorspeller voor gedragsverandering (Miller & Rollnick, 2014). CGT is een vorm van psychotherapie gericht op disfunctionele gedachten, emoties en gedragingen. Een belangrijk onderdeel van CGT is de functieanalyse, die inzicht geeft in de factoren die gedrag uitlokken en in stand houden. Factoren beschreven in de functieanalyse zijn gedachten, gevoelens en gebeurtenissen die verband houden met het probleemgedrag. Het doel van de functieanalyse is om te begrijpen waar het probleemgedrag vandaan komt en om vaardigheden aan te leren om dit gedrag aan te passen (Peters-Scheffer & Didden, 2020).
De combinatie van MVG en CGT is effectief om middelengebruik bij mensen zonder een LVB te verminderen (Davis et al., 2015; Naar & Safren, 2017; Riper et al., 2014; Smedslund et al., 2011). Over de effectiviteit van MVG-CGT bij mensen met een LVB is echter weinig bekend (van Duijvenbode & VanDerNagel, 2019). Voor zover bekend is er slechts één haalbaarheidsstudie gepubliceerd over een MVG-CGT-behandelprogramma voor mensen met een LVB (Kouimtsidis et al., 2017). De onderzoekers toonden aan dat een combinatie van MVG en CGT ingezet kan worden bij mensen met een LVB en verslaving. Vervolgonderzoek is nodig om de effectiviteit van deze methodieken bij deze doelgroep te onderzoeken. Ook bestaan behandelprogramma's vaak uit een one-size-fits-all-protocol, terwijl een verslavingsbehandeling effectiever is wanneer ze is aangepast aan de specifieke kenmerken van een cliënt (Volkow, 2018). Een voorbeeld van een gepersonaliseerde benadering is CGT aangepast aan de persoonlijkheidsprofielen van een individu (dat wil zeggen: angstgevoeligheid, negatief denken, impulsiviteit en sensatie zoeken; Morin et al., 2017). Aangetoond is dat deze vier persoonlijkheidsprofielen samenhangen met middelengebruik (Hecimovic et al., 2014; Krank et al., 2011; Mackinnon et al., 2014), ook bij mensen met een LVB (Pieterse et al., 2020; Poelen et al., 2022). Zo gebruiken mensen met het profiel angstgevoeligheid of negatief denken meestal middelen om met negatieve emoties om te gaan, terwijl mensen met het profiel impulsiviteit of sensatie zoeken middelen gebruiken om een positieve bekrachtiging te krijgen (Comeau et al., 2001). Daarnaast kunnen ook het soort middel dat gebruikt wordt en het patroon van gebruik variëren tussen de persoonlijkheidsprofielen (Comeau et al., 2001).
De gepersonaliseerde aanpak is geïmplementeerd in preventieprogramma's, waar hij effectief bleek te zijn in het verminderen van middelengebruik bij jongeren met een LVB (Schijven et al., 2021) en zonder een LVB (Conrod et al., 2013; Edalati et al., 2019; Mahu et al., 2015; O'Leary-Barrett et al., 2010). Vanwege de complexiteit van verslavingsproblematiek en de potentie die een gepersonaliseerde verslavingsbehandeling heeft, is er grote behoefte aan een dergelijke behandeling die is aangepast aan de behoeften en kenmerken van mensen met een LVB.
Huidige studie
De huidige studie evalueert de effectiviteit van Take it Personal!+, een gepersonaliseerde behandeling voor problematisch middelengebruik bij mensen met een LVB (Gosens et al., 2021). Take it Personal!+ is gebaseerd op MVG en CGT, gepersonaliseerd op basis van vier persoonlijkheidsprofielen: angstgevoeligheid, negatief denken, impulsiviteit en sensatie zoeken. Take it Personal!+ is aangepast aan de behoeften van mensen met een LVB. De behandeling is door de erkenningscommissie van Vilans beoordeeld als goed onderbouwd en opgenomen in de databank interventies (Vilans, 2023). In de huidige studie wordt de effectiviteit van Take it Personal!+ onderzocht in een multiple baseline single case experimental design (SCED) onder 12 mensen met een LVB en een verslaving. We verwachtten een afname van het dagelijkse middelengebruik en behoud van de resultaten 1 maand na de behandeling.
Methode
Onderzoeksopzet
De effectiviteit van Take it Personal!+ is onderzocht in een SCED (Kazdin, 2011) met vier fasen: baseline, interventie, post-treatment en follow-up (Gosens et al., 2020). Met dit design kunnen effecten gemeten worden bij een klein aantal participanten (Maric, 2018). Door herhaalde metingen per participant vóór, tijdens en na de interventie wordt inzicht verkregen in de effectiviteit van de interventie. Daarnaast geven follow-upmetingen inzicht in de effecten van de interventie op langere termijn (Maric, 2018). De baselinefase kent vijf verschillende baselinelengten (variërend van 7 tot 11 dagen), waaraan participanten willekeurig werden toegewezen. In sommige gevallen werd de baselineperiode verlengd vanwege een no-show bij de eerste geplande behandelsessie. De interventiefase duurde om verschillende redenen tussen 2 en 12 maanden (onder meer vanwege cliëntkenmerken, ziekte, vakantie en uitval). De post-treatmentfase duurde 1 maand en de follow-upfase bestond uit één meting 3 maanden na de interventie.
Een dagboekmethode werd toegepast tijdens de baseline-, interventie- en post-treatmentfase, waarbij de participanten een dagelijkse vragenlijst invulden met behulp van een applicatie voor mobiele telefoons (EthicaData, 2019). Daarnaast werden gestandaardiseerde vragenlijsten afgenomen tijdens baseline, post-treatment en follow-up. Het onderzoek is uitgevoerd tussen voorjaar 2019 en winter 2022. De studie is geregistreerd in het Nederlands Studieregister (Trial NL4935, geregistreerd op 2 juli 2019) en goedgekeurd door de Ethiek Commissie Sociale Wetenschappen van de Radboud Universiteit (ECSW-2019-033). Bij het rapporteren van de resultaten werden de Single-Case Reporting Guidelines in Behavioral Interventions (SCRIBE) gevolgd (Tate et al., 2016).
Participanten
Twaalf cliënten van twee zorgorganisaties voor mensen met een LVB namen deel aan het onderzoek. Cliënten kwamen in aanmerking voor deelname aan de studie als (1) er sprake was van een LVB (de meest recente IQ-scores zijn ontleend aan de cliëntdossiers), (2) ze minstens drie keer per week middelen gebruikten, en (3) voldeden aan de criteria voor een stoornis in het gebruik van cannabis, alcohol, XTC, cocaïne en/of amfetamine/methamfetamine volgens de DSM-5 (American Psychiatric Association, 2014). Cliënten werden uitgesloten als ze risico liepen op (1) ernstige ontwenningsverschijnselen, (2) ernstige psychiatrische comorbiditeit, zoals suïcidaliteit, psychose of depressieve stoornis, (3) ernstige somatische problemen, of (4) psychosociale problemen die de behandeling belemmeren (onder andere dakloosheid).
In totaal werden 24 cliënten beoordeeld voor inclusie. Drie cliënten kwamen niet in aanmerking, van wie één cliënt werd doorverwezen naar de verslavingszorg (vanwege een hoog risico op ontwenningsverschijnselen) en twee cliënten naar de geestelijke gezondheidszorg (vanwege acute psychische problemen). Acht participanten vielen tijdens de eerste 2 weken van de behandeling uit vanwege een gebrek aan motivatie (n = 2), acute psychische problemen (n = 4), opname in detentie (n = 1) of geen noodzaak voor volledige verslavingsbehandeling gezien de milde aard van de problematiek (n = 1). Deze participanten werden uitgesloten van het onderzoek omdat het niet mogelijk was om bij hen de effectiviteit van Take it Personal!+ te beoordelen. Eén participant werd uitgesloten van de studie vanwege ontbrekende data: deze participant had slechts 43% van de dagelijkse vragenlijsten ingevuld, er waren geen post-treatment- en follow-upmetingen, en geen evaluatieformulier van de therapeut. Dit betekent dat 12 cliënten zijn geïncludeerd (zie tabel 1). Alle participanten hadden beperkingen in adaptieve vaardigheden op basis van een klinische beoordeling door een multidisciplinair behandelteam. Tien participanten hadden een Nederlandse culturele achtergrond en twee participanten hadden een niet-westerse culturele achtergrond.
Tabel 1 Kenmerken van de participanten
| Leeftijd | Geslacht | DSM-5 | Behandeldoel | Comorbiditeit | Zorgsetting | Persoonlijkheidsprofiel | |
|---|---|---|---|---|---|---|---|
| P1 | 35 | M | Gematigd Alcohol | Maximaal 3 glazen per dag | ADHD ASS | Extramuraal | Impulsiviteit |
| P2 | 23 | M | Ernstig Cannabis | Terughoudend in veranderplan | ASS | Intramuraal | Impulsiviteit |
| P3 | 21 | V | Ernstig Cannabis | Stoppen met cannabis | PTSS | Extramuraal | Angstgevoeligheid |
| P4 | 23 | V | Ernstig Cannabis | Stoppen met cannabis | ASS | Extramuraal | Impulsiviteit |
| P5 | 18 | M | Ernstig Cocaïne Ketamine | Stoppen met cocaïne and ketamine | ADHD ODD | Extramuraal | Impulsiviteit |
| P6 | 23 | M | Ernstig Cannabis | Verminderen van cannabis | ADHD | Extramuraal | Impulsiviteit/ Angstgevoeligheid |
| P7 | 29 | M | Ernstig Alcohol | Stoppen met alcohol | ASPD ADHD | Extramuraal | Impulsiviteit |
| P8 | 22 | M | Gematigd Cannabis | Stoppen met cannabis | RAD | Extramuraal | Angstgevoeligheid |
| P9 | 18 | V | Ernstig Cannabis | Stoppen met cannabis | PTSS BPD | Extramuraal | Negatief denken |
| P10 | 22 | M | Ernstig Cannabis | Eén keer per weekend maximaal 3 joints | PTSS | Extramuraal | Impulsiviteit |
| P11 | 19 | V | Mild Cannabis | Alleen recreatief blowen | FASD ADHD RAD | Intramuraal | Impulsiviteit |
| P12 | 22 | M | Ernstig Cannabis | Stoppen met cannabis | ADHD | Intramuraal | Impulsiviteit |
Noot. ADHD = attention deficit hyperactivity disorder; ASPD = antisociale-persoonlijkheidsstoornis; ASS = autismespectrumstoornis; BPD = borderline-persoonlijkheidsstoornis; FASD = foetaal-alcoholsyndroom; M = man; ODD = oppositioneel-opstandige gedragsstoornis; P = participant; PTSS = posttraumatische-stressstoornis; RAD = geremde-hechtingsstoornis; V = vrouw.
Meetinstrumenten
De primaire uitkomstmaat was de hoeveelheid middelengebruik, die werd gemeten met een dagelijkse vragenlijst met behulp van een mobiele applicatie (EthicaData, 2019) tijdens de baseline-, interventie- en post-treatmentfase. Participanten beantwoordden dagelijks vragen over de frequentie en hoeveelheid van hun middelengebruik. Ten eerste werd gevraagd: 'Heb je vandaag [het primaire middel] gebruikt?' Hierbij kon de cliënt zelf de bewoording kiezen voor het door hem/haar gebruikte middel. Vervolgens kon hij/zij de vraag beantwoorden met 'ja' of 'nee'. Als de participant bevestigend antwoordde, werd de hoeveelheid middelengebruik gemeten met een open vraag: 'Hoe vaak?' Deze vraag werd gepersonaliseerd op het primaire middel (bijvoorbeeld met: 'Hoeveel joints heb je vandaag gerookt?'). De frequentie van het gebruik van andere middelen werd gemeten met de vraag: 'Heb je vandaag iets anders gebruikt dan [het primaire middel]?', waarop de participanten konden antwoorden met gepersonaliseerde antwoordcategorieën (bijvoorbeeld met 'nee', 'ja, alcohol', 'ja, XTC', 'ja, cocaïne' of 'ja, iets anders'). Voorafgaand aan elke behandelsessie ontving de therapeut per e-mail van de onderzoeker een samenvatting van de dagelijkse metingen en besprak de therapeut deze samenvatting met de cliënt tijdens de behandelsessie. Ook ontbrekende dagelijkse metingen van het middelengebruik werden tijdens deze sessies besproken, waarna de therapeut deze gegevens deelde met de onderzoeker.
Aanvullende informatie over het middelengebruik werd verzameld met gestandaardiseerde vragenlijsten tijdens baseline, post-treatment en follow up (dat wil zeggen: 3 maanden na de interventie). De ernst van het alcoholgebruik werd beoordeeld op basis van de Alcohol Use Disorder Identification Test (AUDIT; Babor et al., 2001), en de ernst van het cannabis- en harddrugsgebruik op basis van de Drug Use Disorder Identification Test (DUDIT; Bergman et al., 2003). Beide vragenlijsten identificeren het risico op een stoornis in middelengebruik. Door deze vragenlijsten af te nemen, konden zowel veranderingen in de ernst van het gebruik van het middel waarvoor de cliënt werd behandeld worden gemeten, als effecten in andere middelen. De AUDIT en DUDIT maken deel uit van de Substance Use and Misuse in Intellectual Disability-Questionnaire (SumID-Q; VanDerNagel et al., 2011), waarbij de AUDIT en DUDIT aangepast zijn aan mensen met een LVB. Cronbachs alfa van de AUDIT en DUDIT varieerden tussen 0,71 en 0,97.
Procedure
Participanten werden op twee manieren geworven. Ten eerste nodigden professionals cliënten uit om deel te nemen aan de behandeling. Daarnaast vroegen sommige cliënten professionals om een behandeling voor hun middelengebruik. Na informed consent van cliënten – en indien nodig van ouders of wettelijk vertegenwoordigers – vond er een briefing door de onderzoeker plaats. In deze briefing werden de dagelijkse vragen besproken en afgestemd op de cliënt, om er zeker van te zijn dat die de vragen begreep. Daarnaast werd in overleg de timing van de pushnotificaties bepaald (sommige participanten ontvingen de pushmelding 's ochtends en andere 's avonds), om ervoor te zorgen dat de volledige hoeveelheid middelengebruik tijdens die dag werd gemeten. Vanwege de COVID-19-pandemie vond vanaf maart 2020 de briefing via beeldbellen plaats. De baselinefase begon de dag na de briefing. Na de eerste dag van de baselinefase nam de onderzoeker contact op met de participant om te controleren of de participant vragen of problemen had met het gebruik van de applicatie. Als gedurende de onderzoeksperiode participanten de dagelijkse vragen ongeveer 4 dagen niet invulden, nam de onderzoeker contact met hen op om te controleren of ze problemen ondervonden.
Na afronding of uitval van de behandeling plande de onderzoeker direct (post-treatment) en 3 maanden later (follow-up) een gesprek met de participant om de gestandaardiseerde vragenlijsten af te nemen. Vanwege de COVID-19-pandemie vonden deze bijeenkomsten vanaf maart 2020 via beeldbellen plaats.
Take it Personal!+
Take it Personal!+ is een gepersonaliseerde behandeling voor problematisch middelengebruik, met als doel het middelengebruik te verminderen bij mensen met een LVB (Gosens et al., 2021). Take it Personal!+ wordt aangeboden gedurende 11 weken, met twee wekelijkse sessies van 45 minuten (A- en B-sessie). Sessie A is een individuele sessie met de cliënt en in sessie B neemt de cliënt een vertrouwenspersoon mee uit zijn sociale netwerk of vanuit de zorg. Afhankelijk van de behoeften van de cliënt kan de therapeut de duur van de behandeling aanpassen (sommige cliënten hebben bijvoorbeeld meer herhaling nodig, kortere sessies of een verdeling van de A- en B-sessie over 2 weken). Take it Personal!+ is aangepast aan de verstandelijke en adaptieve beperkingen van de doelgroep. Dit betekent dat Take it Personal!+ herhaling van inhoud, aanwezigheid van een vertrouwenspersoon, vereenvoudigde communicatie, en communicatie ondersteund door foto's omvat. Meer informatie over deze aanpassingen is weergegeven in tabel 2.
Tabel 2 Aanpassingen van Take it Personal!+ aan de verstandelijke en adaptieve beperkingen van de doelgroep
| Aanpassing | Beschrijving | Reden | Verschil met regulier CGT- protocol* |
|---|---|---|---|
| Herhaling van inhoud |
| Mensen met een LVB ervaren geheugen-problemen** | Reguliere CGT gaat uit van één sessie per week, omvat 13 sessies en de inhoud ervan wordt niet herhaald over de sessies |
| Aanwezigheid van vertrouwenspersoon |
| Mensen met een LVB ondervinden problemen bij het generaliseren van aangeleerde vaardigheden** | In reguliere CGT is er geen vertrouwenspersoon |
| Versimpelde communicatie, die ondersteund wordt met afbeeldingen |
| Mensen met een LVB hebben taalbeperkingen | Schaalvragen in reguliere CGT lopen bijvoorbeeld van 0-10, CGT wordt niet ondersteund met afbeeldingen en bevat moeilijkere woorden (bijvoorbeeld 'zelfcontrolemaatregelen') |
Noot. * = Merkx (2014); ** = Willner & Lindsay (2016)
Tijdens de intake werd de Substance Use Profile Risk Scale (SURPS; Woicik et al., 2009) afgenomen om participanten toe te wijzen aan één van de vier persoonlijkheidsprofielen (zie tabel 1). Take it Personal!+ is aangepast aan de verschillende persoonlijkheidsprofielen en bestaat uit acht kerncomponenten. In de eerste 2 weken ligt de focus op MVG om de motivatie van de participant te vergroten, diens middelengebruik te veranderen en psycho-educatie te geven met betrekking tot het persoonlijkheidsprofiel. Als de cliënt in de tweede week besluit om middelengebruik te veranderen, maakt hij of zij een plan om het middelengebruik te veranderen (behandeldoel). Vanaf week 3 worden functieanalyses van het middelengebruik opgesteld, zelfcontrolemaatregelen aangeleerd, persoonlijkheidsprofiel en bijbehorende signalen herkend (bijvoorbeeld emoties, gedachten en lichaamssignalen), wekelijkse doelen gesteld, en gedrags- en cognitieve copingvaardigheden aangeleerd; de laatste sessies richten zich op terugvalpreventie. De psycho-educatie en het herkennen van het persoonlijkheidsprofiel en samenhangende signalen van middelengebruik zijn aangepast aan het persoonlijkheidsprofiel. De andere kerncomponenten zijn bij elk persoonlijkheidsprofiel hetzelfde, maar er is wel een link naar het persoonlijkheidsprofiel (bij de functieanalyse wordt bijvoorbeeld de rol van het persoonlijkheidsprofiel besproken).
De mHealth-applicatie TiP! is ontwikkeld om de behandelsessies te ondersteunen en de generalisatie van de behandeling naar het dagelijks leven te bevorderen. De applicatie bestaat uit oefeningen, doelen, toekomstwensen, een help!-knop, belangrijke informatie uit de behandelsessies (onder andere uitleg over de zelfcontrolemaatregelen) en een terugvalpreventieplan. Verder wint de cliënt accessoires voor een avatar en punten voor persoonlijke beloningen door oefeningen te maken en aan doelen te werken. Voor meer gedetailleerde informatie over het behandelprotocol, TiP! en de aanpassingen aan het protocol – gebaseerd op de verstandelijke en adaptieve beperkingen van de doelgroep – zie Gosens en collega's (2021).
In dit onderzoek voerden zes therapeuten de behandeling uit. Allen hadden ervaring met het behandelen van mensen met een LVB en verslaving, met MVG, waren CGT geregistreerd (basiscursus CGT gevolgd, gecertificeerd door de Nederlandse Vereniging voor Gedrags- en Cognitieve therapieën) en waren getraind in het uitvoeren van het behandelprotocol. Na elke sessie vulden therapeuten een evaluatieformulier in om de therapietrouw, en individuele en contextuele factoren te monitoren die het veranderproces konden beïnvloeden. Volgens de evaluatieformulieren implementeerden alle therapeuten de kerncomponenten correct, maar in sommige gevallen hebben de therapeuten kleine aanpassingen gemaakt om de behandeling verder te personaliseren (een participant had geen moeite met 'nee zeggen', waardoor de therapeut deze informatie en de bijpassende oefeningen heeft verkort).
Statistische analyses
Ten eerste werd een visuele analyse uitgevoerd volgens de richtlijnen van visuele analyse in single-case design, waarbij patronen binnen en tussen de fasen werden onderzocht aan de hand van zes aspecten: (1) niveau, (2) trend, (3) variabiliteit, (4) directheid (immediacy) van het effect, (5) overlap, en (6) consistentie van de data in vergelijkbare fasen (Kratochwill et al., 2010). De visuele analyse werd ondersteund door een statistische analyse van de dagelijkse metingen. Voor elke participant werden effectgrootten berekend, waarvoor verschillende methoden werden gebruikt: (1) Nonoverlap of All Pairs (NAP; Parker & Vannest, 2009), (2) Pooled Standardized Mean Difference (Cohens d; Hedges et al., 2012), en (3) Percent of Goal Obtained (PoGO; Ferron et al., 2020). De NAP en Cohens d zijn berekend met de Shiny SCDA web app (De et al., 2020), waarbij de Single-Case Meta-Analysis (SCMA) R package (Bulté & Onghena, 2013) werd gebruikt. Een NAP-waarde lager dan 0,50 duidt op geen effect of op een effect in de tegenovergestelde richting dan verwacht; waarden tussen 0,50 en 0,65 duiden op een zwak effect; waarden tussen 0,66 en 0,92 op een mediumeffect; en waarden tussen 0,93 en 1,0 op een groot effect (Parker & Vannest, 2009). Cohens d-effectgrootte lager dan 0,20 duidt op geen effect; tussen 0,20 en 0,50 op een zwak effect; tussen 0,50 en 0,80 op een mediumeffect; en hoger dan 0,80 op een groot effect. De PoGO werd met de hand berekend, rekening houdend met (1) het behandeldoel van de participant, (2) het verwachte niveau van het gedrag in afwezigheid van de interventie, en (3) het niveau van het gedrag verkregen tijdens de interventie (Ferron et al., 2020). In de huidige studie werd de gemiddelde score van de baselinefase gebruikt als schatting van het verwachte niveau van het gedrag in afwezigheid van de interventie, en werd de gemiddelde score van de laatste 2 weken van de interventiefase gebruikt als schatting van het niveau van het gedrag verkregen tijdens de interventie. Het was alleen mogelijk om de PoGO te berekenen als het behandeldoel van de participant gekwantificeerd was. Een PoGO-waarde kan worden geïnterpreteerd als een percentage van de behaalde doelen; een waarde kleiner dan 20 betekent geen effect; tussen 20 en 40 een zwak effect; tussen 40 en 60 een mediumeffect; tussen 60 en 80 een matig groot effect; en hoger dan 80 een groot effect (Ferron et al., 2020). Participanten werden uitgesloten van statistische analyse als minder dan de helft van de dagelijkse metingen was ingevuld (n = 2).
Om te testen of de ernst van het middelengebruik op basis van de AUDIT en de DUDIT was afgenomen, werd voor elke participant de Reliable Change Index (RCI) berekend (Jacobsen & Truax, 1991). Een RCI-score kleiner dan -1,96 duidt op een klinisch significante afname van de ernst van het middelengebruik en een RCI-score groter dan 1,96 duidt op een klinisch significante toename van de ernst van het middelengebruik (Jacobsen & Truax, 1991).
Resultaten
Behandelverloop
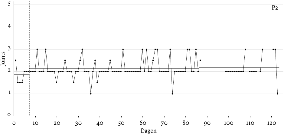
Vijf participanten (1, 4, 7, 8, 11) hebben Take it Personal!+ afgerond, met een behandelduur tussen 5 en 11 maanden. Participant 7 verlengde de behandelduur tijdens de post-treatmentfase met laagfrequente sessies (ongeveer één sessie per 2 weken), met de focus op het volhouden van zijn verandering in alcoholgebruik en het verminderen van zijn cannabisgebruik. De andere participanten hebben het protocol niet volledig afgerond. Participant 2 heeft behandeling gevolgd tot sessie 5A, waarna hij besloot om te stoppen vanwege onvoldoende motivatie. Hij gaf aan dat sommige omgevingsfactoren eerst moesten verbeteren voordat hij zijn cannabisgebruik kon veranderen. Participant 3 volgde de behandeling tot sessie 7B, met een duur van 1 jaar. Dit is een lange behandelduur geweest, met perioden van geen behandeling vanwege een reeks problemen. Ze volgde in dezelfde periode eye movement desensitization and reprocessing (EMDR) voor traumaklachten. Na een jaar was ze tevreden met de behaalde resultaten, waarna ze werd doorverwezen voor behandeling gericht op andere psychische problemen die verband hielden met cannabisgebruik. Participant 5 volgde de behandeling tot sessie 4B, met een duur van 2 maanden. Hij besloot te stoppen omdat hij zijn doelen had bereikt en een baan van 40 uur had, wat ook belangrijk voor hem was om de bereikte doelen vol te houden. Participant 6 stopte met behandeling na sessie 6B, omdat hij veel aan zijn hoofd had en hij de behandeling op dat moment in zijn leven te belastend vond. Bovendien was hij tevreden met de vermindering die hij had bereikt en besloot hij dat het hebben van een baan zou helpen om deze verandering in stand te houden. Participant 9 stopte met de behandeling na sessie 4A, waarbij ze besloot dat ze een klinische behandeling nodig had. Ze was een paar jaar eerder in klinische behandeling geweest en vond dat ze dat weer nodig had. Participant 10 volgde behandeling tot sessie 6B, en delen van 8A/B en 9A, omdat de inhoud van deze sessies belangrijk voor hem waren (onder andere om 'nee' te zeggen). Hij besloot te stoppen met de behandeling omdat hij tevreden was met zijn behaalde doelen en een fulltime baan had, wat belangrijk voor hem was om zijn behaalde doelen te behouden. Participant 12 volgde de behandeling tot sessie 6B. Hij besloot op dat moment te stoppen, omdat hij veel aan zijn hoofd had en de behandeling te belastend was. Bovendien had hij zijn cannabisgebruik verminderd en moest hij volgens een gerechtelijk bevel stoppen met zijn cannabisgebruik vanwege zijn kind.
Visuele analyse
Figuur 1 toont het verloop van het dagelijks gemeten middelengebruik per participant, waarbij de horizontale lijnen de gemiddelde scores van de fasen weergeven. Bij tien participanten (3 t/m 12) daalde de gemiddelde score van het dagelijkse middelengebruik tijdens de behandeling ten opzichte van de baseline. Waar post-treatmentdata beschikbaar waren (4, 7, 8, 12), werd een verdere afname tijdens post-treatment gevonden. Daarentegen vertoonde participant 2 een kleine toename van de gemiddelde score tijdens de behandeling in vergelijking met baseline en een stabiel gemiddelde in post-treatment. Participant 1 vertoonde geen verandering in de gemiddelde score over de fasen heen.












Figuur 1 Dagelijks gemeten middelengebruik tussen fasen en participanten
Percent of Goal Obtained (PoGO)
De PoGO-waarde duidt op een groot effect bij vier participanten (4, 5, 7, 8) en een matig groot effect bij één participant (12; zie tabel 3). Voor de andere vijf participanten (1, 2, 6, 10, 11) kon de PoGO niet worden berekend, omdat hun behandeldoelen niet gekwantificeerd waren. Ze vermeldden echter wel dat ze verschillende doelen hadden behaald. Zo vermeldde participant 1 dat hij zijn behandeldoel had behaald. Dit wordt ondersteund door de visuele analyse, namelijk het drinken van niet meer dan drie glazen alcohol per dag sinds week 3 van de behandeling, met één uitzondering in de laatste week van de behandeling. Participant 2 vermeldde dat hij andere doelen had behaald. Hij had bijvoorbeeld meer controle over zijn cannabisgebruik (hij kon onder meer zijn cannabisgebruik uitstellen tot later op de avond). Participant 6 gaf aan tevreden te zijn met de daling die hij had behaald. Participant 10 gaf aan dat hij tevreden was met zijn behaalde resultaten en dat hij zijn doel had behaald. Dit wordt ondersteund door visuele analyse, die in de laatste weken van de behandeling maximaal één joint per dag laat zien en op de meeste dagen geen cannabisgebruik. Ten slotte gaf participant 11 aan dat ze haar doel had bereikt, omdat ze meer controle had over haar cannabisgebruik, waarbij ze voornamelijk recreatief rookte.
Tabel 3 Effectgrootten en RCI-scores per participant
| Invultrouw (%) | NAP | Cohens d | PoGO | RCI | ||||
|---|---|---|---|---|---|---|---|---|
| B-T | B-PT | B-T | B-PT | B-T | B-PT | B-FU | ||
| P1 | 97,3 | 0,43 | 0,44 | -0,11 | 0,02 | - | -0,99a | - |
| P2 | 86,2 | 0,31 | 0,30 | -0,66 | -0,68 | - | -2,50*b | -3,93*b |
| P3 | 32,6 | - | - | - | - | - | 5,00*b | 2,14*b |
| P4 | 68,2 | 0,89 | 1 | 1,81 | 13,77 | 100 | -7,15*b | -7,15*b |
| P5 | 91,4 | -8,82*c | - | |||||
| Cocaïne | 0,60 | 0,28 | 100 | |||||
| Ketamine | 0,72 | 1,96 | 100 | |||||
| P6 | 86,1 | 0,93 | 1,98 | - | -2,50*b | - | ||
| P7 | 64,8 | 0,68 | 0,78 | 0,84 | 4,20 | 100 | -9,60*a | -9,60*a |
| P8 | 88,3 | 0,90 | 1 | 1,79 | 10,84 | 96 | -3,57*b | -5,72*b |
| P9 | 40,6 | 1,07b | - | |||||
| P10 | 85,2 | 0,71 | 0,97 | - | -2,50*b | -3,93*b | ||
| P11 | 54,5 | 0,73 | 0,49 | 2,14*b | ||||
| P12 | 59,7 | 0,50 | 0,58 | 0,30 | 0,68 | 79,5 | -3,93*b | -5,72*b |
Noot. B = baseline; NAP = non-overlap of all pairs; P = participant; PoGO = percentage of goal obtained; PT = post-treatment; RCI = reliable change index; T = treatment.
* = score is significant; a = Alcohol Use Disorder Identification Test; b = Drug Use Disorder Identification Test – cannabis; c = Drug Use Disorder Identification Test – hard drugs.
Non-overlap of All Pairs (NAP)
In de NAP wordt de overlap van de data tussen fasen geanalyseerd. De NAP-waarde duidt op een groot effect in het verlagen van het dagelijkse middelengebruik van baseline tot behandeling bij participant 6, een gemiddeld effect bij zes participanten (4, 5, 7, 8, 10, 11), en een zwak effect bij participant 12 en bij het cocaïnegebruik van participant 5. Bij twee participanten (1, 2) werd geen effect gevonden. Van baseline tot post-treatment duidt de NAP op een groot effect bij twee van de zes participanten (4, 8), een gemiddeld effect bij participant 7, een zwak effect bij participant 12 en geen effect bij twee participanten (1, 2; zie tabel 3).
Cohens d
De Cohens d effectgrootten van alle participanten worden weergegeven in tabel 3. Ze wijzen op een groot effect bij 6 van de 10 participanten (4, 5, 6, 7, 8, 10), een negatief mediumeffect bij participant 2, een zwak effect bij twee participanten (11, 12) en bij het cocaïnegebruik van participant 5, en geen effect bij participant 1 in het verminderen van het dagelijkse middelengebruik van baseline tot behandeling. Daarnaast is er van baseline tot post-treatment een groot effect bij drie van de zes participanten (4, 7, 8) gevonden, een mediumeffect bij participant 12, een negatief mediumeffect bij participant 2 en geen effect bij participant 1.
Reliable Change Index (RCI)
De RCI werd berekend (tabel 3) om te beoordelen of de ernst van het middelengebruik significant veranderde van baseline naar post-treatment en van baseline naar follow-up. Bij acht participanten (2, 4, 5, 6, 7, 8, 10, 12) nam de ernst van middelengebruik significant af van baseline tot post-treatment en – indien follow-upgegevens beschikbaar waren – ook tot follow-up. De RCI-scores van participant 3 en 11 toonden een toename in ernst van cannabisgebruik. Bij participant 3 kan dit verklaard worden door het feit dat de post-treatmentmeting 1 maand na de laatste behandelsessie werd uitgevoerd en de follow-upmeting een nieuwe baselinemeting was. Deze participant kwam terecht in een sociaal netwerk van middelengebruikers en kon niet zelf stoppen met cannabis, waardoor ze opnieuw is gestart met Take it Personal!+. Bij participant 11 werden de followup gegevens 5 maanden na de laatste behandelsessie verzameld.
Bijkomende effecten
Als de cliënt andere middelen dan het primaire middel van behandeling gebruikte tijdens baseline, post-treatment of follow-up, berekenden we ook de RCI-score voor deze middelen. Deze RCI-scores wijzen op positieve neveneffecten op onbehandelde middelen bij drie participanten. Twee participanten (10, 12) vertoonden een significante afname van de ernst van het alcoholgebruik vanaf baseline tot follow-up, naast het behandelde cannabisgebruik. Eén participant (5) vertoonde een significante afname van de ernst van het cannabisgebruik vanaf baseline tot behandeling en follow-up naast het behandelde harddrugsgebruik.
Daarentegen duidt de RCI-score op negatieve neveneffecten bij twee participanten. Participant 11 vertoonde een significante toename van de ernst van het harddrugsgebruik vanaf baseline tot follow-up. Ook participant 3 vertoonde een significante toename van de ernst van het gebruik van harddrugs van baseline tot post-treatment en tot follow-up. Na de follow-upmeting begon participant 3 opnieuw met Take it Personal!+ om ook het harddrugsgebruik te verminderen. Bij beide participanten toonden de dagelijkse metingen geen harddrugsgebruik aan tijdens de behandeling, wat aangeeft dat ze na de behandeling harddrugs begonnen te gebruiken.
Discussie
Het doel van de huidige studie was om de effectiviteit van Take it Personal + te onderzoeken. Take it Personal!+ was effectief in het verminderen van het dagelijkse middelengebruik bij acht van de tien participanten. Effecten bleven ten minste 1 maand behouden (bij participanten van wie gegevens beschikbaar waren). Daarnaast was Take it Personal!+ effectief in het verminderen van de ernst van het middelengebruik bij acht van de twaalf participanten, zoals gemeten met gestandaardiseerde vragenlijsten tijdens baseline, post-treatment en follow-up. Deze effecten bleven ten minste 3 maanden behouden (bij participanten van wie gegevens beschikbaar waren). Hieruit kunnen we concluderen dat MVG en CGT ook effectief kunnen zijn bij mensen met een LVB en problematisch middelengebruik, wat in overeenstemming is met de uitkomsten van studies bij mensen zonder een LVB (Davis et al., 2015; Naar & Safren, 2017; Riper et al., 2014; Smedslund et al., 2011).
Bij twee participanten was de ernst van het middelengebruik toegenomen bij follow-up ten opzichte van de baseline. Bij één van deze participanten werden de vragenlijsten 5 maanden na de behandeling afgenomen, in plaats van direct na de behandeling en na 3 maanden. Daardoor is niet bekend of de behandeling in het geheel niet effectief was voor de ernst van middelengebruik of dat de effecten na 5 maanden niet werden behouden. Bij de andere participant bleek dat ze in een sociaal netwerk van middelengebruikers terecht was gekomen. Beide participanten vertoonden een toename van ernst in onbehandeld middelengebruik naast de toename in ernst van behandeld middelengebruik. Onderzoek heeft aangetoond dat het risico op het gebruik van andere middelen hoger is als het herstel niet voldoende sociaal ingebed is (Hodgins et al., 2017). Bij personen met een LVB lijkt dit nog belangrijker vanwege hun kwetsbaarheid voor groepsdruk en de behoefte aan een begeleider om vaardigheden te generaliseren (Willner & Lindsay, 2016).
Bij drie van de acht participanten lieten de resultaten een vermindering zien in ernst van zowel het behandelde als het onbehandelde middelengebruik. Dit is in lijn met onderzoek bij personen zonder een LVB, waaruit bleek dat bij mensen die meerdere middelen gebruiken een interventie gericht op één van deze middelen ook invloed kan hebben op de andere middelen (Hodgins et al., 2017). Voor zover bekend is dit de eerste studie die onbehandeld middelengebruik meet bij mensen met een LVB. De positieve neveneffecten zijn opmerkelijk, omdat bekend is dat de doelgroep problemen heeft met responsgeneralisatie (dat wil zeggen: verandering in niet-behandeld gedrag; Park et al., 2020). Sommige participanten vertoonden echter geen verandering in onbehandeld middelengebruik. Daarbij is onbekend of deze personen problemen hadden met responsgeneralisatie of dat het gebruik van andere middelen niet problematisch was en een verandering niet nodig was.
Deze studie leverde nog enkele aanvullende resultaten op die de moeite waard zijn om hier te bespreken. Ten eerste laat de huidige studie eerste bewijzen zien voor de haalbaarheid van dagelijkse metingen bij mensen met een LVB en problematisch middelengebruik. Zover ons bekend, is dit de eerste studie die gebruik heeft gemaakt van dagelijkse metingen bij mensen met een LVB gedurende een lange periode (variërend tussen 2 en 12 maanden). De gemiddelde invultrouw in deze studie was 71,2%, waaruit blijkt dat het invullen van dagelijkse metingen voor een lange periode mogelijk is voor deze doelgroep. Echter, de invultrouw fluctueerde wel binnen en tussen participanten (varieerde tussen 32,6% en 97,3%), waarbij een samenhang zichtbaar was met behandelverloop: participanten met meer 'no-shows' of perioden waarin de behandeling stillag, hadden ook een lagere invultrouw. Een recente studie bevestigd de haalbaarheid van dagelijkse metingen bij mensen met een LVB (Hulsmans et al., 2024).
Ten tweede was een andere belangrijke bevinding van de huidige studie de grote variatie in behandelduur, die varieerde tussen 2 en 12 maanden. De noodzaak om de duur van CGT aan te passen aan de individuele behoeften van cliënten is reeds benadrukt door andere onderzoekers (Mennis et al., 2019; Persons & Thomas, 2019). Take it Personal!+ is oorspronkelijk ontworpen als een interventie van 11 weken, maar in de huidige studie werd therapeuten expliciet meegegeven dat ze vrij waren om de duur van de interventie aan de behoeften van de participanten aan te passen. De variatie in behandelduur kan worden verklaard door verschillende omstandigheden (onder andere stoppen met de behandeling vanwege een baan, kortere sessies, meer herhalen, no-shows en complexe problemen) en weerspiegelt het hoge niveau van personalisatie en aanpassing van de behandeling aan het individu.
Het is bekend dat de comorbiditeit van middelengebruik en psychische problemen hoog is bij mensen met een LVB, wat het belang benadrukt van uitgebreide screening op psychische problematiek bij de start van de behandeling (van Duijvenbode & VanDerNagel, 2019). In de huidige studie stopten zeven participanten binnen de eerste 2 weken van de behandeling. Psychische problemen werden als belangrijkste reden voor uitval genoemd. Dit kan erop wijzen dat de screening aan het begin van deze behandeling niet volledig was. Een uitgebreide screening aan het begin van de behandeling kan niet alleen voorkomen dat cliënten voortijdig stoppen met de behandeling, maar helpt ook om hen te begeleiden naar de behandeling die het beste bij hen past. Dit kan op zijn beurt leiden tot effectievere en efficiëntere zorg.
Beperkingen van het onderzoek
De huidige studie heeft enkele beperkingen. Ten eerste waren er voor een aantal participanten onvoldoende dagelijkse metingen beschikbaar om de effectiviteit van Take it Personal!+ vast te stellen. Met name in de fase na behandeling was dit een probleem. Zes van de twaalf participanten hadden de dagelijkse vragenlijst tijdens deze fase niet ingevuld, waardoor het onmogelijk was om te beoordelen of de afname van het dagelijkse middelengebruik na de behandeling werd gehandhaafd. Bovendien was er alleen een follow-upmeting bij 3 maanden, waardoor de effecten op langere termijn onbekend zijn. Voor toekomstige studies is het van belang om de langetermijneffecten van Take it Personal!+ vast te stellen (bijvoorbeeld na 6 maanden en 1 jaar), waarbij rekening moet worden gehouden met het feit dat de uitval hoog is.
Ten tweede zijn de positieve bevindingen van de interventie niet voldoende om de resultaten te generaliseren naar andere cliënten met een LVB. Om deze reden is het belangrijk dat de studie gerepliceerd wordt met verschillende designs. In de huidige studie is gebruikgemaakt van directe replicaties (onder andere dezelfde therapeut) en systematische replicaties (onder andere verschillende kenmerken van participanten, en verschillende therapeuten en instellingen). Om een evidence-based behandeling vast te stellen moet onderzoek echter worden uitgevoerd door minimaal drie verschillende onderzoeksteams met het gecombineerde aantal van minimaal twintig participanten (Kratochwill et al., 2010, 2013).
Klinische implicaties
Take it Personal!+ is ontwikkeld omdat er binnen de verstandelijk-gehandicaptenzorg behoefte was aan een aangepaste en evidence-based behandeling voor problematisch middelengebruik bij mensen met een LVB. Tot op heden is de verslavingszorg nog onvoldoende aangepast aan de beperkingen en behoeften van mensen met een LVB, hoewel zij een verhoogde kans hebben op een stoornis in het gebruik van middelen en er steeds meer aanwijzingen zijn dat veel mensen met een LVB zijn opgenomen in de (klinische) verslavingszorg. De huidige studie is de eerste die de effectiviteit van een gepersonaliseerde MVG-CGT-behandeling voor het verminderen van middelengebruik bij mensen met een LVB heeft onderzocht. De resultaten van deze studie tonen aan dat een aangepaste MVG-CGT effectief kan zijn in het verminderen van problematisch middelengebruik bij mensen met een LVB. Toekomstig onderzoek is nodig om vast te stellen of Take it Personal!+ een evidence-based behandeling is die ook op de lange termijn effectief is en grootschalig geïmplementeerd kan worden in de zorg.
Referenties
- American Psychiatric Association (APA). (2014). Handboek voor de classificatie van psychische stoornissen (DSM-5). Nederlandse vertaling van Diagnostic and Statistical Manual of Mental Disorders, Fifth Edition. Uitgeverij Boom.
- Babor, T. F., Higgins-Biddle, J. C., Saunders, J. B., & Monteiro, M. G. (2001). AUDIT: The alcohol use disorders identification test: Guidelines for use in primarycare. Geneva: World Health Organization.
- Bergman, A. H., Bergman, H., Palmstierna, T., & Schlyter, F. (2003). DUDIT: The drug use disorders identification test: MANUAL. Stockholm: Karolinska Institute.
- Bulté, I., & Onghena, P. (2013). The single-case data analysis package: Analysing single-case experiments with R Software. Journal of Modern Applied Statistical Methods, 12(2), 450-478. https://10.22237/jmasm/1383280020
- Comeau, N., Steward, S. H., & Loba, P. (2001). The relations of trait anxiety, anxiety sensitivity, and sensation seeking to adolescents' motivations for alcohol, cigarette, and marijuana use. Addictive Behaviors, 26, 803-825. https://doi.org/10.1016/S0306-4603(01)00238-6
- Conrod, P. J., O'Leary-Barrett, M., Topper, L., Castellanos-Ryan, N., Mackie, C., & Girard, A. (2013). Effectiveness of a selective, personality-targeted prevention program for adolescent alcohol use and misuse: A cluster randomized controlled trial. JAMA Psychiatry, 70, 334-342. https://10.1001/jamapsychiatry.2013.651
- Davis, M. L., Powers, M. B., Handelsman, P., Medina, J. L., Zvolensky, M., & Smits, J. A. J. (2015). Behavioral therapies for treatment-seeking cannabis users: A meta-analysis of randomized controlled trials. Evaluation & The Health Professions, 38, 94-114. https://doi.org/10.1177/0163278714529970
- De, T. K., Michiels, B., Vlaeyen, J. W. S., & Onghena, P. (2020). Shiny SCDA [Computer software; Mobile application software].
- Didden, R., VanDerNagel, J., Delforterie, M., & van Duijvenbode, N. (2020). Substance use disorders in people with intellectual disability. Current Opinion in Psychiatry, 33, 124-129. https://10.1097/YCO.0000000000000569
- Edalati, H., Afzali, M. H., Castellanos-Ryan, N., & Conrod, P. J. (2019). The effect of contextual risk factors on the effectiveness of brief personality-targeted interventions for adolescent alcohol use and misuse: A cluster-randomized trial. Alcoholism: Clinical and Experimental Research, 43, 997-1006. https://doi.org/10.1111/acer.14016
- EthicaData. (2019). www.ethicadata.com
- Ferron, J., Goldstein, H., Olszewski, A., & Rohrer, L. (2020). Indexing effects in single-case experimental designs by estimating the percent of goal obtained. Evidence-Based Communication Assessment and Intervention, 14, 6-27. https://doi.org/10.1080/17489539.2020.1732024
- Gosens, L. C. F., Otten, R., de Jonge, J. M., Schellekens, A. F. A., VanDerNagel, J. E. L., Didden, R., & Poelen, E. A. P. (2021). Development of a personalized substance use disorder treatment for people with mild intellectual disabilities or borderline intellectual functioning: An intervention mapping approach. Journal of Intellectual and Developmental Disability, 47, 131-140. https://doi.org/10.3109/13668250.2021.1925529
- Gosens, L. C. F., Otten, R., Didden, R., & Poelen, E. A. P. (2020). Evaluating a personalized treatment for substance use disorder in people with mild intellectual disability or borderline intellectual functioning: A study protocol of a multiple baseline across individuals design. Contemporary Clinical Trials Communication, 19, 100616. https://doi.org/10.1016/j.conctc.2020.100616
- Gosens, L. C. F., Poelen, E. A. P., Didden, R., de Jonge, J. M., Schellekens, A. F. A., VanDerNagel, J. E. L., Onghena, P., & Otten, R. (2024). Evaluating the effectiveness of Take it Personal!+ in people with mild intellectual disability or borderline intellectual functioning and substance use disorder: A multiple baseline single-case experimental study. Behavior Therapy, 55, 331-346.
- Hecimovic, K., Barrett, S. P., Darredau, C., & Stewart, S. H. (2014). Cannabis use motives and personality risk factors. Addictive Behaviors, 39, 729-732. https://doi.org/10.1016/j.addbeh.2013.11.025
- Hedges, L. V., Pustejovsky, J. E., & Shadish, W. R. (2012). A standardized mean difference effect size for single case designs. Research Synthesis Methods, 3, 224-239. https://doi.org/10.1002/jrsm.1052
- Hodgins, D. C., Kim, H. S., & Stea, J. N. (2017). Increase and decrease of other substance use during recovery from cannabis use disorders. Psychology of Addictive Behaviors, 31, 727-734. https://doi.org/10.1037/adb0000307
- Hulsmans, D. H. G., Poelen, E. A. P., Lichtwarck-Aschoff, A., & Otten, R. (2024). De haalbaarheid van dagelijks monitoren bij adolescenten en jongvolwassenen met een licht verstandelijke beperking of zwakbegaafdheid. NTZ, 1, 12-25.
- Jacobsen, N. S., & Truax, P. (1991). Clinical significance. A statistical approach to defining meaningful change in psychotherapy research. Journal of Consulting and Clinical Psychology, 59, 12-19. https://doi.org/10.1037/10109-042
- Kazdin, A. E. (2011). Single-case research designs: Methods for clinical and applied settings. Oxford University Press.
- Kouimtsidis, C., Bosco, A., Scior, K., Baio, G., Hunter, R., Pezzoni, V., Mcnamera, E., & Hassiotis, A. (2017). A feasibility randomised controlled trial of extended brief intervention for alcohol misuse in adults with mild to moderate intellectual disabilities living in the community; The EBI-LD study. Trials, 18, 1-12. https://doi.org/10.1186/s13063-017-1953-0
- Krahn, G., Farrell, N., Gabriel, R., & Deck, D. (2006). Access barriers to substance abuse treatment for persons with disabilities: An exploratory study. Journal of Substance Abuse Treatment, 31, 375-384. https://doi.org/10.1016/j.jsat.2006.05.011
- Krank, M., Stewarts, S. H., O'Connor, R., Woicik, P. B., Wall, A. M., & Conrod, P. J. (2011). Structural, concurrent, and predictive validity of the substance use risk profile scale in early adolescence. Addictive Behaviors, 36, 37-46. https://doi.org/10.1016/j.addbeh.2010.08.010
- Kratochwill, T. R., Hitchcock, J., Horner, R. H., Levin, J. R., Odom, S. L., Rindskopf, D. M., & Shadish, W. R. (2010). Single case designs technical documentation. What Works Clearinghouse.
- Kratochwill, T., Hitchcock, J. H., Horner, R. H., Levin, J. R., Odom, S. L., Rindskopf, D. M., & Shadish, W. R. (2013). Single-case intervention research design standards. Remedial and Special Education, 34, 26-38. https://doi.org/10.1177/0741932512452794
- Mackinnon, S. P., Keyhayes, I. L., Clark, R., Sherry, S. B., & Stewart, S. H. (2014). Testing the four-factor model of personality vulnerability to alcohol misuse: A three-wave, one-year longitudinal study. Psychology of Addictive Behaviors, 28, 1000-1012. https://doi.org/10.1037/a0037244
- Mahu, I. T., Doucet, C., O'Leary-Barrett, M., & Conrod, P. J. (2015). Can cannabis use be prevented by targeting personality risk in schools? Twenty-four-month outcome of the adventure trial on cannabis use: A cluster-randomized controlled trial. Addiction, 110, 1625-1633. https://doi.org/10.1111/add.12991
- Maric, M. (2018). Single-case experimentele designs in cognitieve gedragstherapie. Gedragstherapie, 51, 158-170.
- Mennis, J., Stahler, G. J., Abou El Magd, S., & Baron, D. A. (2019). How long does it take to complete outpatient substance use disorder treatment? Disparities among Blacks, Hispanics, and Whites in the US. Addictive Behaviors, 93, 158-165. https://doi.org/10.1016/j.addbeh.2019.01.041
- Merkx, M. J. M. (2014). Handleiding 2: Individuele cognitieve gedragstherapie bij middelengebruik en gokken. Stichting Resulaten Scoren/Perspectief Uitgevers.
- Miller, W. R., & Rollnick, S. (2014). Motiverende gespreksvoering. Ekklesia.
- Morin, J. F. G., Harris, M., & Conrod, P. J. (2017). A review of CBT treatments for substance use disorders. Oxford Handbooks.
- Naar, S., & Safren, S. A. (2017). Motivational interviewing and CBT: Combining strategies for maximum effectivess. The Guilford Press.
- O'Leary-Barrett, M., Mackie, C. J., Castellanos-Ryan, N., Al-Khudhairy, N., & Conrod, P. J. (2010). Personality-targeted interventions delay uptake of drinking and decrease risk of alcohol-related problems when delivered by teachers. Journal of the American Academy of Child & Adolescent Psychiatry, 49, 954-963. https://doi.org/10.1016/j.jaac.2010.04.011
- Park, J., Bouck, E. C., & Duenas, A. (2020). Using video modeling to teach social skills for employment to youth with intellectual disability. Career Development and Transition for Exceptional Individuals, 43, 40-52. https://doi.org/10.1177/2165143418810671
- Parker, R. I., & Vannest, K. (2009). An improved effect size for single-case research: Nonoverlap of all pairs. Behavior Therapy, 40, 357-367. https://doi.org/10.1016/j.beth.2008.10.006
- Persons, J. B., & Thomas, C. (2019). Symptom severity at week 4 of cognitive behavior therapy predicts depression remission. Behavior Therapy, 50, 791-802. https://doi.org/10.1016/j.beth.2018.12.002
- Peters-Scheffer, N., & Didden, R. (2020). Functional analysis methodology in developmental disabilities. In P. Sturmey (Ed.), Functional analysis in clinical treatment (pp. 75-95). Academic Press. https://doi.org/10.1016/B978-012372544-8-50005-7
- Pieterse, M. E., VanDerNagel, J. E. L., ten Klooster, P. M., Turhan, A., & Didden, R. (2020). Psychometric qualities of the Dutch version of the substance use risk profile scale adapted for individuals with mild intellectual disabilites and borderline intellectual functioning. Journal of Mental Health Research in Intellectual Disabilities, 13, 250-266. https://doi.org/10.1080/19315864.2020.1789250
- Poelen, E. A. P., Schijven, E. A. P., & Otten, R. (2022). The mediating role of substance use motives in the relationship between personality dimensions and alcohol and drug use in adolescents and young adults with mild intellectual disabilities. Addictive Behaviors, 126. https://doi.org/10.1016/j.addbeh.2021.107173
- Riper, H., Andersson, G., Hunter, S. B., de Wit, J., Berking, M., & Cuijpers, P. (2014). Treatment of comorbid alcohol use disorders and depression with cognitive behavioural therapy and motivational interviewing: A meta-analysis. Addiction, 109, 394-406. https://doi.org/10.1111/add.12441
- Schijven, E. P., Hulsmans, D. H. G., VanDerNagel, J. E. L., Lammers, J., Otten, R., & Poelen, E. A. P. (2021). The effectiveness of an indicated prevention program for substance use in individuals with mild intellectual disabilities and borderline intellectual functioning and comorbid behavioural problems: Results of a quasi-experimental study. Addiction, 116, 373-381. https://doi.org/10.1111/add.15156
- Slayter, E. M. (2008). Understanding and overcoming barriers to substance abuse treatment access for people with mental retardation. Journal of Social Work in Disability & Rehabilitation, 7, 63-80. https://doi.org/10.1080/15367100802009780
- Slayter, E. M. (2010). Not immune: Access to substance abuse treatment among Medicaid-covered youth with mental retardation. Journal of Disability Policy Studies, 20, 195-204. https://doi.org/10.1177/1044207309341373
- Slayter, E. M. (2016). Disparities in substance abuse treatment utilization among women with intellectual disability. Journal of Social Work in Disability & Rehabilitation, 15, 96-115. https://doi.org/10.1080/1536710X.2016.1162120
- Smedslund, G., Berg, R. C., Hammerstrøm, K. T., Steiro, A., Leiknes, K. A., Dahl, H. M., & Karlsen, K. (2011). Motivational interviewing for substance abuse. Campbell Systematic Reviews, 7, 1-126. https://doi.org/10.4073/csr.2011.6
- Tate, R. L., Perdices, M., Rosenkoetter, U., Shadish, W., Vohra, S., Barlow, D. H., Horner, R., Kazdin, A., Kratochwill, T., McDonald, S., Sampson, M., Shamseer, L., Togher, L., Albin, R., Backman, C., Douglas, J., Evans, J. J., Gast, D., Manolov, R., Mitchell, G., … Wilson, B. (2016). The Single-Case Reporting Guideline In BEhavioural Interventions (SCRIBE) 2016 Statement. Physical Therapy, 96, e1-e10. https://doi.org/10.2522/ptj.2016.96.7.e1
- van Duijvenbode, N., & VanDerNagel, J. E. L. (2019). A systematic review of substance use (disorder) in individuals with mild to borderline intellectual disability. European Addiction Research, 25, 263-282. https://doi.org/10.1159/000501679
- van Duijvenbode, N., VanDerNagel, J. E. L., Didden, R., Engels, R. C. M. E., Buitelaar, J. K., Kiewik, M., & de Jong, C. A. J. (2015). Substance use disorders in individuals with mild to borderline intellectual disability: Current status and future directions. Research in Developmental Disabilities, 38, 319-328. https://doi.org/10.1016/j.ridd.2014.12.029
- VanDerNagel, J. E. L., Kiewik, M., van Dijk, M., de Jong, C., & Didden, R. (2011). Handleiding SumID-Q: Meetinstrument voor het in kaart brengen van middelengebruik bij mensen met een lichte verstandelijke beperking. Deventer: Tactus.
- VanDerNagel, J. E., van Duijvenbode, N., Ruedrich, S., Ayu, A. P., & Schellekens, A. F. A. (2018). The perception of substance use disorder among clinicians, caregivers and family members of individuals with intellectual and developmental disabilities. Journal of Mental Health Research in Intellectual Disabilities, 11, 54-68. https://doi.org/10.1080/19315864.2017.1390712
- Vilans. (2023). Take it Personal!+. www.databankinterventies.nl/interventies/interventie-take-it-personal
- Volkow, N. D. (2018). Principles of drug addiction treatment: A research-based guide (Third edition). National Institute on Drugs Abuse. https://nida.nih.gov/sites/default/files/podat-3rdEd-508.pdf
- Willner, P., & Lindsay, W. R. (2016). Cognitive behavioral therapy. In N. N. Singh (Ed.), Handbook of evidence-based practices in intellectual and developmental disabilities (pp. 283-310). Springer.
- Woicik, P. A., Stewart, S. H., Phil, R. O., & Conrod, P. J. (2009). The substance use risk profile scale: a scale measuring traits linked to reinforcement-specific substance use profiles. Addictive Behaviors, 34, 1042-1055. https://doi.org/10.1016/j.addbeh.2009.07.001
Noot
- 1.Dit artikel is een vertaalde en aangepaste versie van Gosens en collega's (2024).
© 2009-2025 Uitgeverij Boom Amsterdam
De artikelen uit de (online)tijdschriften van Uitgeverij Boom zijn auteursrechtelijk beschermd. U kunt er natuurlijk uit citeren (voorzien van een bronvermelding) maar voor reproductie in welke vorm dan ook moet toestemming aan de uitgever worden gevraagd:
Behoudens de in of krachtens de Auteurswet van 1912 gestelde uitzonderingen mag niets uit deze uitgave worden verveelvoudigd, opgeslagen in een geautomatiseerd gegevensbestand, of openbaar gemaakt, in enige vorm of op enige wijze, hetzij elektronisch, mechanisch door fotokopieën, opnamen of enig andere manier, zonder voorafgaande schriftelijke toestemming van de uitgever.
Voor zover het maken van kopieën uit deze uitgave is toegestaan op grond van artikelen 16h t/m 16m Auteurswet 1912 jo. Besluit van 27 november 2002, Stb 575, dient men de daarvoor wettelijk verschuldigde vergoeding te voldoen aan de Stichting Reprorecht te Hoofddorp (postbus 3060, 2130 KB, www.reprorecht.nl) of contact op te nemen met de uitgever voor het treffen van een rechtstreekse regeling in de zin van art. 16l, vijfde lid, Auteurswet 1912.
Voor het overnemen van gedeelte(n) uit deze uitgave in bloemlezingen, readers en andere compilatiewerken (artikel 16, Auteurswet 1912) kan men zich wenden tot de Stichting PRO (Stichting Publicatie- en Reproductierechten, postbus 3060, 2130 KB Hoofddorp, www.cedar.nl/pro).
No part of this book may be reproduced in any way whatsoever without the written permission of the publisher.
Inloggen VGCt en VVGT
Leden van de VGCt en de VVGT loggen in via de site van hun vereniging. Als u op die site bent ingelogd als lid, vindt u daar een button naar het Tijdschrift voor Gedragstherapie.
English
Behavioral Therapy: Journal for Behavioral Therapy and Cognitive Therapy ISSN 0167-7454
Information in English can be found here.





